5.2.2 Effet de la condition de traitement de l’information
La procédure du test t pour échantillons appariés permet de calculer la différence de valeurs entre deux variables pour chaque observation et de tester si la moyenne diffère de 0. Par conséquent, nous utilisons cette procédure pour comparer les scores de reconnaissance, les temps de réponse, et nos différents indicateurs de mouvements des yeux suivant les conditions de traitement (traitement profond par rapport à traitement superficiel).
Sur les indicateurs de mouvements des yeux
Au niveau de la publicité
Tableau 3 Différences de moyennes de nos indicateurs de mouvements des yeux, valeur de t et η2 en fonction du niveau profond vs. superficiel de traitement
| Moyenne | Différence | t | η2 | |
| Nombre de fixations : profond superficiel | 9,26 5 | 3,87*** | 6,669 | 0,116 |
| Durée moyenne d’une fixation en ms : profond superficiel | 113 95 | 18*** | 4,581 | 0,068 |
| Somme des durées de fixation en ms : profond superficiel | 1739 1070 | 669*** | 5,915 | 0,087 |
| Longueur moyenne d’une saccade en mm : profond superficiel | 36 28 | 8*** | 5,020 | 0,082 |
| Somme des longueurs de saccades en mm : profond superficiel | 504 264 | 240*** | 7,412 | 0,142 |
*** p<0,001; ** p<0,01; * p<0,05
Le tableau 3 montre que le niveau de traitement de l’information a un effet significatif sur chacun de nos indicateurs de mouvements des yeux. En effet, le nombre de fixations sur le stimulus est plus élevé lorsque le participant est en condition de traitement profond que lorsqu’il est en condition de traitement superficiel (9,26 fixations par rapport à 5 fixations respectivement, p = 0,000).
Une fixation en condition de traitement profond dure en moyenne plus longtemps qu’en condition de traitement superficiel (113 ms par rapport à 95 ms respectivement, p = 0,000). Il en est de même pour le temps total passé à fixer le stimulus (1739 ms en traitement profond par rapport à 1070 ms en traitement superficiel, p = 0,000).
En ce qui concerne les saccades, elles sont en moyenne plus longues en condition de traitement profond qu’en condition de traitement superficiel (3,6 cm pixels par rapport à 2,8 cm respectivement, p = 0,000). Et lorsque nous additionnons l’ensemble des longueurs de saccades, la distance totale parcourue par le regard est plus longue pour la condition de traitement profond que pour celle de traitement superficiel (50,4 cm par rapport à 26,4 cm respectivement, p = 0,000).
Au niveau des éléments au sein de la publicité
Dans un deuxième temps, il est intéressant d’examiner plus en détail les mouvements des yeux sur les différents éléments du stimulus. Le tableau 4 nous montre que les différences significatives observées sur nos indicateurs dépendent de la nature de l’élément de la publicité regardé. Nous trouvons ainsi que la condition de traitement a un effet très significatif sur le visionnage du titre, du texte, et de l’image. En revanche, le logo ne génère aucun indicateur significatif.
Plus spécifiquement, lorsque les participants regardent le titre, ils effectuent plus de fixations lorsqu’ils sont en condition de traitement profond qu’en condition de traitement superficiel (3,32 fixations par rapport à 0,92 fixations respectivement, p = 0,000).
La durée moyenne d’une fixation en condition de traitement profond est plus longue qu’en condition de traitement superficiel (138 ms par rapport à 75 ms respectivement, p = 0,000). Ainsi, le temps total passé à fixer le titre est lui aussi plus long en condition de traitement profond qu’en condition de traitement superficiel (590 ms par rapport à 161 ms respectivement, p = 0,000).
La longueur moyenne d’une saccade sur le titre est plus longue en condition de traitement profond qu’en condition de traitement superficiel (5,1 cm par rapport à 3,1 cm respectivement, p = 0,006). La distance totale parcourue par le regard est ainsi plus longue pour la condition de traitement profond que pour celle de traitement superficiel (20,5 cm par rapport à 6,3 cm pixels respectivement, p = 0,000).
En ce qui concerne l’image, le nombre de fixations est ici aussi plus élevé en condition de traitement profond qu’en condition de traitement superficiel (3,86 fixations par rapport à 3,38 fixations respectivement, p = 0,054).
Nous trouvons que la durée moyenne d’une fixation en condition de traitement profond est plus courte que pour la condition de traitement superficiel (199 ms par rapport à 213 ms respectivement, p = 0,020). En revanche, le temps total passé à fixer l’image ne diffère pas selon les conditions (775 ms par rapport à 708 ms respectivement, p = 0,193). La longueur moyenne d’une saccade est plus longue en condition de traitement profond qu’en condition de traitement superficiel (4,6 cm par rapport à 4 cm respectivement, p= 0,003).
En sommant les longueurs de saccades, nous observons que la distance totale parcourue par le regard est plus longue pour la condition de traitement profond que pour celle de traitement superficiel (17,2 cm par rapport à 13,3 cm respectivement, p = 0,004).
Lorsque les participants lisent le texte, ils effectuent plus de fixations lorsqu’ils sont en condition de traitement profond qu’en condition de traitement superficiel (1,79 fixations par rapport à 0,78 fixations respectivement, p = 0,003).
La durée moyenne d’une fixation en condition de traitement profond est plus longue que pour la condition de traitement superficiel (81 ms par rapport à 51 ms respectivement, p = 0,000). De ce fait, le temps total passé à fixer le texte est plus long en condition de traitement profond qu’en condition de traitement superficiel (320 ms par rapport à 139 ms respectivement, p = 0,005).
La longueur moyenne d’une saccade est plus longue en condition de traitement profond qu’en condition de traitement superficiel (3,2 cm par rapport à 2 cm respectivement, p= 0,001). Ainsi la distance totale parcourue par le regard est elle aussi plus longue en condition de traitement profond comparée à la condition de traitement superficiel (10,4 cm par rapport à 4,3 cm respectivement, p = 0,000).
Pour le logo, aucun indicateur des mouvements des yeux n’est influencé par la condition de traitement (respectivement, nombre de fixations : 0,28 fixations par rapport à 0,31 fixations, p = 0,630; durée moyenne d’une fixation : 33 ms par rapport à 41ms, p = 0,232; temps total passé à fixer le logo : 53 ms par rapport à 63 ms, p = 0,470; longueur moyenne d’une saccade : 1,6 cm par rapport à 1,9 cm, p = 0,386; distance totale parcourue sur le logo : 2,3 cm par rapport à 2,4 cm, p = 0,776).
Tableau 4 Différences de moyennes de nos indicateurs de mouvements des yeux, valeur de t et η2 en fonction des éléments de la publicité et du niveau profond vs. superficiel de traitement
| TITRE | Moyenne | Différence | t | η2 |
| Nombre de fixations : profond superficiel Durée moyenne d’une fixation en ms : profond superficiel Somme des durées de fixations en ms : profond superficiel Longueur moyenne d’une saccade en mm : profond superficiel Somme des longueurs de saccades en mm : profond superficiel | 3,32 0,92 138 75 590 161 51 31 205 63 | 2,40*** 63*** 429*** 20*** 142*** | 9,897 8,752 8,811 6,060 9,520 | 0,283 0,227 0,243 0,135 0,278 |
| IMAGE Nombre de fixations : profond superficiel Durée moyenne d’une fixation en ms : profond superficiel Somme des durées de fixations en ms : profond superficiel Longueur moyenne d’une saccade en mm : profond superficiel Somme des longueurs de saccades en mm : profond superficiel | 3,86 3,38 199 213 775 708 46 40 172 133 | 0,48* -14* 67 6** 39** | 1,954 -2,359 1,311 3,028 2,954 | 0,010 0,014 0,004 0,033 0,023 |
| Moyenne | Différence | t | η2 | |
| TEXTE Nombre de fixations : profond superficiel Durée moyenne d’une fixation en ms : profond superficiel Somme des durées de fixations en ms : profond superficiel Longueur moyenne d’une saccade en mm : profond superficiel Somme des longueurs de saccades en mm : profond superficiel | 1,79 0,78 81 51 320 139 32 20 104 43 | 1,01** 30*** 181** 12*** 61*** | 3,066 4,125 2,849 3,466 3,877 | 0,046 0,064 0,039 0,050 0,068 |
| LOGO Nombre de fixations : profond superficiel Durée moyenne d’une fixation en ms : profond superficiel Somme des durées de fixations en ms : profond superficiel Longueur moyenne d’une saccade en mm : profond superficiel Somme des longueurs de saccades en mm : profond superficiel | 0,28 0,31 33 41 53 63 16 19 23 24 | -0,03 -8 -10 -3 -1 | -0,484 -1,204 -0,726 -0,871 -0,286 | 0,001 0,007 0,003 0,003 0,000 |
*** p<0,001; ** p<0,01; * p<0,05
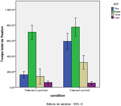
D’après la figure 16, la variation de temps passé sur les différents éléments de la publicité en fonction du niveau de traitement de l’information est manifeste. En effet, en condition de traitement profond, les participants vont passer significativement plus de temps sur l’image d’abord, puis le titre, et ensuite le texte.
Ils vont passer très vite sur le logo. En condition de traitement superficiel, la hiérarchie des éléments les plus longtemps visualisés reste la même mais cette fois-ci, le temps passé sur le titre est équivalent à celui passé sur le texte, et tous deux diminuent largement par rapport à la condition de traitement profond.
Nous observons donc que les participants fixent surtout l’image, quasiment quatre fois plus longtemps que les trois autres éléments d’ailleurs; la différence est très significative. Ensuite, les participants vont passer un peu de temps à lire le titre et le texte. Et enfin, ils vont passer très vite sur le logo.
Figure 16. Elément de la publicité le plus longtemps regardé en fonction de la condition de traitement de l’information
Sur la tâche de reconnaissance
Un test t sur échantillons appariés révèle que le niveau de traitement des stimuli à l’encodage a un effet significatif sur le score de reconnaissance des publicités (t =-2,750; p = 0,006; η2 = 0,020). En effet, comme nous nous y attendons, les scores de reconnaissance sont plus élevés lorsque les publicités sont traitées de façon profonde, i.e. sémantique (M=85% de réponses correctes), que lorsqu’elles sont traitées de façon superficielles, i.e. structurale (M=73% de réponses correctes). Nos résultats sont donc conformes à la littérature.
Lorsque nous ne prenons en compte que les réponses correctement reconnues, nous trouvons également un effet significatif du niveau de traitement sur le temps de réponse pour effectuer la tâche (t = 2,194; p = 0,032; η2 = 0,064). Plus précisément, les publicités encodées de façon superficielle sont reconnues après un laps de temps plus long (M = 1457 ms) que les publicités encodées de façon profonde (M = 1237 ms).

