Accueil / Génie Industriel / Huiles essentielles / Plantes médicinales, Eucalyptus et l’Eucalyptus globulus

Plantes médicinales, Eucalyptus et l’Eucalyptus globulus

Pour citer ce mémoire et accéder à toutes ses pages
🏫 Université de Lubumbashi - Faculté polytechnique
📅 Travail présenté et défendu en vue de l’obtention du grade de Bachelier Ingénieur Civil en Chimie Industrielle - Novembre 2020
🎓 Auteur·trice·s

Plantes médicinales, Eucalyptus et l’Eucalyptus globulus

Chapitre 1 : Généralités sur les plantes médicinales et les huiles essentielles

Ce chapitre traite des plantes médicinales, des méthodes d’obtentions des essences végétales extraites de plantes aromatique, il parle également de la composition chimique, et de la caractérisation physico-chimique des huiles essentielles d’Eucalyptus.

1.1. Plantes médicinales

1.1.1 Définition

Les plantes médicinales sont des plantes qui renferment un ou plusieurs principes actifs capables de prévenir, soulager ou guérir des maladies (Adoumou et al., 2012).

Il faut dire que les plantes médicinales représentent une source de matière première essentielle pour la découverte de nouvelles molécules nécessaires pour la synthèse des médicaments (Sofowora, 1993).

Le tableau 1 reprend les grandes familles des plantes médicinales qu’on rencontre dans le règne végétal.

Tableau 1: Quelques familles des plantes médicinales (Rabiai, 2014)

FamillesEspèces
LiliacéesTulipe, Ail, Poireau
LamiacéesBasilic, Menthe, Origan, Lavande
LauracéesLaurier
LauranthacéesGui
PolygonacéesRhubarbe
BorraginacéesBourrache, Consoude
PapavéracéesPavot, Chélidoine
OmbellifèresCerfuil, Persil, Coriandre
MyratacéesEucalyptus, Girofle
ChénoposacéesArroche
SaxifragacéesGroseillier, Cassisser

Il ressort du tableau 1 que l’Eucalyptus fait partie de la famille de Myratacées, ce sont des arbres et des arbustes, souvent producteurs d’huiles essentielles des zones tempérées, subtropicales à tropicales, poussant principalement en Australie, en Amérique, dans la région méditerranéenne, en Afrique subsaharienne, Madagascar, et les îles du Pacifique.

1.1.2 Quelques principes actifs de plantes médicinales

Les principes actifs sont des molécules qui confèrent aux plantes médicinales une activité thérapeutique bien connue.

Parmi ces molécules on retrouve : les phénols, les flavonoïdes, les saponines, et les alcaloïdes.

1.1.2.1 Les phénols

Il existe une très grande variété de phénols, de composés simples comme l’acide salicylique, molécule donnant par synthèse l’aspirine, à des substances plus complexes comme les composés phénoliques auxquels sont rattachés les glucosides.

Les phénols possèdent des propriétés ; anti- inflammatoires et antiseptiques (Nkili, 2009).

1.1.2.2 Les flavonoïdes

Le terme flavonoïde regroupe une très large gamme de composés naturels polyphénoliques.

On distingue différents types de noyaux : flavones, flavonols, flavanones, flavanonols, flavanes, flavan-3-ols, flavylium, chalcones, aurones, isoflavones, isoflavonols, isoflavanes, ptérocarpanes, coumaronochromones, 3-arylcoumarines, coumestanes, roténoïdes etc. (Sarni et al., 2006).

Les flavonoïdes sont des dérivés du phénylpropane, possèdent tous un même squelette de base de quinze atomes de carbones constitué de deux unités aromatiques, deux cycles en C6 (A et B) reliés par une chaîne en C3 (Figure 1).

Les flavonoïdes sont de composés phénoliques dont beaucoup sont des pigments responsables de la coloration de nombreuses fleurs et de certains fruits (Bruneton, 199).

Ils sont très présents dans les feuilles, les graines, l’écorce et les fleurs de plante, Il faut dire aussi que ces molécules possèdent de nombreuses propriétés thérapeutique ; anti- inflammatoire, antioxydant, antibactérienne, etc. (Hurabielle et al., 1989).

Squelette de base des flavonoïdes

Figure 1: Squelette de base des flavonoïdes

1.1.2.3 Les saponines

On appelle saponines ou saponosides, une classe de substances naturelles dont la solution aqueuse forme par agitation une mousse plus abondante et plus persistante que celle produite par toute classe de produits naturels, dans les conditions similaires.

Ce sont des hétérosides stéroïdiens à pouvoir moussant et hémolytique (Bruneton, 1999).

Ce sont des hétérosides qui sont formés par la combinaison de l’un des hydroxydes d’un mono ou d’un polysaccharide ou aglycone, suite de l’élimination d’une molécule d’eau.

Certaines saponines libèrent également, outre les composés précités, un ou plusieurs acides organiques, acides cinnamiques, etc. (Bruneton, 1999).

1.1.2.4 Les alcaloïdes

Ce sont des composés organiques d’origine naturelle (les plus souvent végétales, azotés plus ou moins basiques distribution restreinte et donnés à faible dose des propriétés pharmacologiques.

Du point de vue chimique, les alcaloïdes sont des composés soit tertiaires constituées de C, H et N qui sont généralement liquides et volatiles.

La basicité des alcaloïdes est très variable cette propriété est fonction de la disponibilité du doublet libre de l’azote.

Les alcaloïdes forment des sels d’acides minéraux ou organiques apolaires solubles dans les alcools (Bruneton, 1999).

Les alcaloïdes présentent des propriétés pharmacologiques assez importantes et variées dont les plus connues sont : Les propriétés analgésiques, et les propriétés cicatrisantes.

1.2 Plantes aromatiques

Les PAs sont, par définition, des plantes dont les tissus sécrètent suffisamment d’essence végétale.

Elles contiennent les molécules aromatiques ou odorantes dans un ou plusieurs de ses organes producteurs : feuille, fleurs, fruits, écorces, graines, racines, etc.

Toute plante à odeur n’est pas toujours une plante aromatique, pour exemple le tilleul est un arbre odorant mais il n’existe pas d’huile essentielle de tilleul (Bechaalany, 2005).

1.3 Eucalyptus

1.3.1 Description

Les Eucalyptus sont de grands arbres dont certaines espèces peuvent atteindre 100 mètres de hauteur, originaire d’Australie, notamment de la province de Tasmanie; l’Eucalyptus fut rapidement planté dans les régions subtropicales de l’Asie et du bassin méditerranéen.

Possédant une exceptionnelle capacité d’absorber l’eau du sol sur lequel il croît, l’Eucalyptus assèche rapidement les marais qu’il colonise.

Il élimine ainsi les milieux de reproduction des insectes qui transmettent la malaria, d’où le nom « d’arbre à la fièvre » (Rabiai et al., 2014).

La plupart des Eucalyptus ont des feuilles persistantes. Comme les autres membres de la famille des Myrtaceae, les feuilles d’Eucalyptus sont couvertes de glandes à huile. L’abondante production d’huile est une caractéristique importante de ce genre (Selma et al., 2018)

Les fleurs sont très variées, elles ont de très nombreuses étamines qui peuvent être de couleur blanche, crème, jaune, rose ou rouge. Les fruits à maturité ont la forme d’un cône, ils sont secs, et de couleur brune.

Ils ont également des valves qui se soulèvent pour laisser échapper les graines lors de leur chute sur le sol (Bruneton, 1999).

1.3.2 Types d’Eucalyptus

Il existe différentes variétés d’Eucalyptus, entre autre ; l’Eucalyptus citonnella, l’Eucalyptus radiata, Eucalyptus rostrata, Eucalyptus globulus, etc. la présente étude s’intéresse à l’Eucalyptus globulus.

1.3.3 Classification botanique de l’Eucalyptus globulus

La classification botanique d’Eucalyptus globulus selon (Ghedira, 2008), est la suivante : Synonymes : Gommier bleu, Eucalyptus globuleux, Arbre à fièvre, Eucalyptus officinal

Règne : Plante

Division : Magnoliophyta

Classe : Magnoliiopsida-Dicotylédones

Sous-classe : Rosidae

Famille : Myrtaceae

Genre : Eucalyptus

Nom botanique : Eucalyptus globulus, labill.

Nom vernaculaire : localement cette plante est connue sous le nom de Kalafulu.

La figure 2 présente une photographie des feuilles d’Eucalyptus globulus.

Photographie des feuilles d'Eucalyptus globulus

Figure 2: Photographie des feuilles d’Eucalyptus globulus (Beyould, 2014)

Hormis les multiples vertus thérapeutiques de cette plante, de nombreux Eucalyptus sont utilisés dans le monde pour produire du bois de service : poteaux, bois de mine, bois de feu, perches, bois de construction.

1.4 Propriétés et composition chimique de l’Eucalyptus globulus

L’Eucalyptus globulus possède des nombreuses propriétés thérapeutiques, et également une composition chimique très variée.

1.4.1 Propriétés thérapeutiques

On a introduit depuis les temps anciens dans la thérapeutique les feuilles d’Eucalyptus, qui ont les propriétés suivantes (Dellile et al., 2007) :

Une propriété balsamique, ayant la fonction d’un baume adoucissant pour les muqueuses respiratoires,

Propriété antiseptique des voies respiratoires, et à ce titre, il soigne les rhumes, grippes et maux de gorge,

Une propriété fébrifuge,

Une propriété vermifuge, et

Une propriété antibactérienne.

1.4.2 Composition chimique

La constitution chimique de l’Eucalyptus globulus, est formée de :

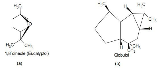
– De l’huile essentielle dont les composant majoritaires de celle-ci sont (oxydes terpéniques: 1,8-cinéole (Eucalyptol) ; monoterpènes : alpha-pinène, limonène, gamma-terpinène, paracymène ; sesquiterpènes : aromadendrène ; sesquiterpénols : globulol, lédol),

– Flavonoïdes (des hétérosides de flavones avec aglycones suivant : quercétine, myricétine, etc.)

– Tanins. La figure 3 illustre la structure chimique des quelques constituants d’Eucalyptus

Structure chimique de quelques constituants d'Eucalyptus a) 1,8 cinéole (Eucalyptol) ; b) Globulol
Structure chimique de quelques constituants d’Eucalyptus a) 1,8 cinéole (Eucalyptol) ; b) Globulol

Rechercher
Télécharger ce mémoire en ligne PDF (gratuit)

1 réflexion au sujet de “Plantes médicinales, Eucalyptus et l’Eucalyptus globulus”

Laisser un commentaire

Votre adresse courriel ne sera pas publiée. Les champs obligatoires sont indiqués avec *

Scroll to Top