Méthodes d’exploitation des résultats des indices écologiques
II .3. Méthodes d’exploitation des résultats
L’exploitation des résultats obtenus au cours de la présente étude est faite grâce à des indices écologiques de composition et des indices de structure, suivie par une analyse statistique.
II .3.1. Exploitation des résultats par des indices écologiques
Le nombre et la richesse, l’abondance relative, la densité, la diversité et l’équitabilité des espèces d’Orthoptères ont été calculés. Le régime alimentaire des principales espèces d’Acridiens a été aussi exploité par des indices écologiques.
II .3.1.1. Nombre d’individus (N) et richesse spécifique (S)
Une énumération des individus de chaque espèce est réalisée pour chaque station. La richesse spécifique, qui correspond au nombre total d’espèces d’Orthoptères (Caelifères et Ensifères) rencontrées sur une station donnée peut être calculée.
Elle est égale au nombre d’espèces différentes pour tous les prélèvements confondus. Ces paramètres vont permettre de comparer les différentes stations selon leur diversité et le nombre d’individus et mettre en avant le type d’habitat le plus intéressant (Jaulin, 2009)
II. 3.1.2. Densité des Criquets
Pour chaque site, la mesure quantitative de la densité acridienne a été réalisée par la méthode des quadrats. Le nombre total d’individus appartenant à chaque espèce a été compté dans des quadrats de 25 m2.
Les comptages dans les quadrats ont été répétés dix fois pour chaque site et jour d’échantillonnage. La densité de chaque site a été rapportée en criquet par 100 m2 (Zergoun et al., 2019).
II .3.1.3. Abondance relative
L’abondance relative (A.R. %) des espèces d’Orthoptères a été calculée comme le nombre d’individus de l’espèce (i) par rapport au nombre total d’individus de toutes les espèces recueillies sur chaque site (Zaime & Gautier, 1989).
![]()
Où ni est le nombre d’individus de l’espèce i et N le nombre total d’individus
II .3.1.4. Fréquence d’occurrence ou constance des espèces
La constance (C) est le rapport du nombre de relevés contenant l’espèce étudiée (Pi) au nombre total de relevés (P) ; exprimée en pourcentage (Dajoz, 2006).
![]()
Où Pi représente le nombre total des prélèvements contenant l’espèce i et P le nombre total des prélèvements effectués. En fonction de la valeur de C on les catégories suivantes :
Omniprésente : si C% = 100% ;
Constante : si 75% ≤ C% < 100% ;
Régulière : si 50% ≤ C% < 75% ;
Accessoire : si 25% ≤ C% <50% ;
Accidentelle : si 5 % ≤ C%< 25 % ;
Espèces Rare si C%< 5 %.
Les fréquences d’occurrence du peuplement ou espèces sont regroupées en classes (Scott, 2009) qui sont déterminées selon la règle de Sturge (Scherrer, 1984).
Le nombre de classes est égal à :
N (clas.) = 1 + (3,3 log n)
NC : Nombre de classes ;
n : nombre d’espèces présentes.
II .3.1.5. Diversité Alpha
La diversité alpha est la diversité locale, mesurée à l’intérieur d’un système délimité. Plus précisément, il s’agit de la diversité dans un habitat uniforme de taille fixe (Marcon, 2010). Les calculs de la diversité alpha ont été effectués avec PAST, version 2.17b (Hammer et al. 2001).
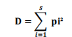
II .3.1.5.1. Indice de diversité de Shannon-Weaver
La détermination de l’indice de Shannon-Weaver au niveau des différentes stations durant les différentes saisons nos permet de suivre la dynamique de la biodiversité Acridienne au niveau de chaque station. Cet indice est calculé de la manière suivante : (Marcon, 2010).

S = nombre total d’espèces ;
pi = (ni /N), fréquence relative des espèces ;
ni = fréquence relative de l’espèce i dans l’unité d’échantillonnage ;
N = somme des fréquences relatives spécifiques
II .3.1.5.2. Equitabilité
L’équitabilité (E) est une mesure d’uniformité. Elle décrit la manière dont les
individus sont répartis entre les différentes espèces : (Blondel, 1979 ; Magurran, 2004).
![]()
E = équitabilité des espèces ;
H’ = diversité des espèces ;
S = nombre des espèces.
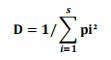
II .3.1.5.3. L’indice de Simpson
L’indice de Simpson ou indice de dominance prend en compte la fréquence mesurée des espèces. Ils accordent plus d’importance aux espèces les plus fréquentes qu’à la richesse spécifique totale (Magurran, 1988). Il est calculé selon la formule suivante : 
La diversité spécifique est la plus élevée quand l’indice de Simpson est le plus faible. L’inverse de Simpson permet de faire varier l’indice dans le même sens que la diversité : plus la diversité spécifique est élevée plus l’indice est fort : 
II .3.1.6. Indices écologiques utilisés dans le régime alimentaire
Dans cette partie nous allons compléter l’étude de la méthode qualitative classique (fréquences) de l’analyse des fèces par celle des surfaces, dite « de la fenêtre » (Doumandji et al., 1993) , qui permet d’ estimer la quantité de matière végétale ingérée par les Acridiens.
II .3.1.6.1. Fréquence des espèces végétales dans les fèces
Pour exprimer les résultats d’analyses des espèces végétales présentes dans les fèces nous avons utilisé la formule de fréquence relative proposée par Le Gall & Gillon (1989) : ![]()
Où : Oi est le nombre de fois où des fragments du végétal i sont observés dans les fèces de l’espèce j et Ot est la somme des Oi
3.1.6.2. Méthode des surfaces
La méthode des surfaces ou « méthode de la fenêtre », que nous avons utilisée pour quantifier la prise de nourriture par les Acridiens, consiste à découper un petit carré de 1 mm2 dans une languette de papier millimétré.
Celle-ci est installée sur la platine du microscope optique de manière à ce que la fenêtre soit centrée dans le champ optique, et la lame préparée est posée dessus. En se repérant sur le millimétrage, on fait glisser la préparation sur le papier de façon à ce que la petite fenêtre en parcoure la superficie.
La surface de chaque fragment rencontré est estimée de la façon suivante : 1 mm2 pour la totalité de la surface de la fenêtre, 0,5 mm2 pour la moitié, 0,25 mm2 pour le quart et 0,06 mm2 pour les plus petites fractions.
Le nombre de mesures à effectuer doit être suffisamment grand afin de minimiser les risques d’erreur, et être au moins égal au tiers des 576 mm2 qui constituent l’aire de chaque lamelle de 24 x 24 mm, soit 192 unités, prises au hasard, valeur que nous avons retenue .
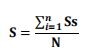
Pour chaque espèce végétale, on note à chaque fois la surface (Benzara et al., 2003). La surface totale dans chaque lamelle étant estimée par 1’équation :
![]()
Ss : est la surface d’une espèce végétale donnée rejetée dans les fèces et calculée pour un individu.

S : est la surface moyenne d’une espèce végétale consommée par N individus.
![]()
T : est le taux de consommation d’une espèce végétale donnée est le pourcentage de surface foliaire de cette espèce ingérée par un Acridien, rapporté à l’ensemble des surfaces foliaires ingérées. 
IA : est l’indice d’attraction d’une espèce végétale donnée. C’est le rapport du taux de consommation de la plante considérée à son taux de recouvrement sur le terrain.
II .3.2. Analyses statistiques
L’analyse des données collectées lors des prospections de terrain s’effectue essentiellement grâce à des méthodes d’analyse mathématique informatisées, telles que les analyses factorielles des correspondances (AFC) et les classifications ascendantes hiérarchiques (CAH).
II .3.2.1. Estimation de la richesse spécifique
Des courbes d’accumulation d’espèces ont été utilisées pour déterminer si les assemblages des Orthoptères de chaque habitat avaient été échantillonnés de manière exhaustive. Le nombre de relevé a été utilisé comme la mesure de l’effort d’échantillonnage.
Des estimations de la richesse en espèces avec des intervalles de confiance de 95% pour les estimateurs S est (analytique) et Chao1 Classique basées sur 100 échantillons randomisés pour les données d’Orthoptères échantillonnés ont été appliquées (Zergoun et al., 2019).
Le logiciel ESTIMATES version 9.1.0 (Colwell, 2013) a été utilisé pour générer les estimateurs ICE et Chao1.

II .3.2.2. Test de Kruskal et Wallis
Pour vérifier les différences entre les sites dans la richesse et la diversité des Acridiens, le test non paramétrique de Kruskal-Wallis a été utilisé pour tester l’hypothèse nulle (Ho) selon laquelle les groupes d’Orthoptères dans les différents sites sont superposables (même valeur de leurs médianes).
Le seuil de signification a été fixé à 5%. Les Tests ont été menés en R, version 3.1.2 (R Core Team 2014).
II .3.2.3. L’analyse factorielle des correspondances (AFC)
Les données Acridiennes sont traitées sur la base des présences/absences. Une espèce est considérée présente dans un site si au moins une larve ou un imago y a été observé.
Le tableau de données, est analysé par l’AFC. Ces analyses permettent de réaliser une typologie “sociologique” par comparaison des profils de distribution de chacune des espèces parmi les relevés (Monard, 1986). L’AFC est mené sur Excel 2007 et sur la version 2014.1 de XLSTAT.
II .3.2.4. La classification ascendante hiérarchique ou CAH
Pour faciliter le dépouillement des résultats de l’AFC, on effectue une classification ascendante hiérarchique des relevés sur la base de leurs coordonnées factorielles. La classification ascendante hiérarchique (CAH) facilite les regroupements entre relevés analogues (Monard, 1986). La CAH est effectuée sur la version 2014.1 de XLSTAT.
hamannayaya@gmail.com bonjour comment aller vous ? je suis étudiant de l’université de Maroua Cameroun, je travail sur l’émergence des forêts communauataires au sahel, pouvez vous m’aider avec vos documents ?