La synthèse de nanoparticules innovantes par le procédé sol-gel non-aqueux révèle des propriétés physico-chimiques surprenantes, essentielles pour la dégradation du phénol. Cette avancée pourrait transformer notre approche des polluants industriels, avec des implications significatives pour l’environnement.
III .2.3 Principe de la méthode sol gel :
Le principe de base du procédé Sol-gel est de permettre la transformation d’une solution à base de précurseurs en phase liquide, en un gel par succession de réactions de polyrimésation, à température modérée [12], puis converti en un produit par traitement chimique ou thermique. Le système est constitué d’un mélange d’oligomères colloïdaux et de petites macromolécules. Cette dispersion stable de particules colloïdales au sein d’un liquide est appelé « sol ».
Le gel est constitué d’un réseau solide tridimensionnel gonflé par le solvant, avec des liaisons chimiques assurant la cohésion mécanique du matériau en lui donnant un caractère rigide, non déformable [13].
En règle générale, les particules de sol peuvent interagir avec les forces de van der Waals ou les liaisons hydrogène. Dans la plupart des systèmes de gel utilisés pour la synthèse de matériaux, les interactions sont de nature covalente et le processus de gélification est irréversible. Le processus de gélification peut être réversible si d’autres interactions sont impliquées.

Les matériaux sol – gel sont donc des solides métastables formés lors de réactions à contrôle cinétique à partir de précurseurs moléculaires, qui constituent les éléments de base des matériaux ultérieurs. Une conséquence immédiate est que tous les paramètres de la réaction, y compris les propriétés du précurseur, ont une influence déterminante sur la structure et donc sur les propriétés des matériaux sol-gel [14, 15,16].
Les matériaux précurseurs choisis utilisés dans la préparation des sols sont généralement des sels métalliques inorganiques tels que des métaux (chlorures, acétates, nitrates, sulfates), des composés organométalliques (alkoxydes métalliques) ou des composés organométalliques (Metalcarbonyl).
III .2.4 La description de processus :
Dans cette procédure chimique, le « sol » (ou solution) évolue progressivement par le biais des réactions chimique d’hydrolyse, de condensation vers la formation d’un système diphasique de type gel contenant à la fois une phase liquide et une phase solide dont les morphologies vont des particules discrètes aux réseaux de polymères continus, cette transition de l’état de sol (liquide visqueux) à l’état de gel (solide élastique) porte le nom de point de gélification [17] qui correspond au moment où la viscosité du gel est infinie, et le temps nécessaire au « sol » pour se transformer en « gel » est appelé temps de gel (ou point de gel) [11].
Au cours du temps, le gel croître par greffage successif qui conduit à la contraction du matériau et donc à l’expulsion d’une partie du solvant : c’est-à-dire la Synérèse.
Ces gels sont ensuite transformés en matière sèche amorphe par évacuation des solvants en conditions supercritiques où l’on dépasse le point critique du solvant et des aérogels sont produits, ou par simple évaporation en conditions atmosphériques donnant un xérogel. Enfin, un traitement thermique adéquat faisant intervenir des phénomènes physiques et mécaniques, conduit à une densification à basse température, donnant ainsi un matériau de bonne qualité [18,19].

Source: URL
Figure 3 : Potentiel de la méthode sol-gel [7].
III .2.5 La méthode sol gel aqueux (hydrolytique) :
Le procédé est initié par hydrolyse lors l’ajout de l’eau, permettant la formation d’un groupement hydroxyle sur le monomère (M–OH) et l’élimination de l’alcool, puis intervient la condensation qui permet la formation de ponts M–O–M. La condensation peut avoir lieu entre les différents groupements [20, 21, 22]:
La condensation des groupes M-OH entre eux a pour conséquence l’expulsion d’eau (il s’agit de l’oxolation) ; tandis que la condensation de groupes M-OH avec des groupes non-hydrolysés restants M-OR libèrent des groupements alcools (il s’agit de l’alcoxolation).
Les réactions d’hydrolyse et de condensation mettent en jeu des mécanismes d’addition et de substitution nucléophile qui implique des étapes réactionnelles intermédiaires Schématisent sur la figure suivante : [7,23]

Source: URL
Figure 4: Mécanisme des réactions d’hydrolyse et de condensation [23].

Les gels formés à la suite d’une hydrolyse peuvent être de deux natures. Les gels colloïdaux, dont la formation est conditionnée par des interactions électrostatiques et la déstabilisation d’un sol colloïdal par la modification des charges de surface, des gels polymériques qui consistent en la polymérisation d’une solution organométallique.
Figure 5: Gels colloïdaux (a) et polymériques (b) [24].
Le procédé sol-gel présente de grands avantages en comparaison des méthodes de chimie classique notamment au niveau de la diversité des méthodes de mise en forme et des microstructures obtenues [7]. Grâce au mélange intime entre les différents précurseurs et la qualité de ceux-ci, il est possible d’obtenir des produits très purs et présentant une très bonne homogénéité. De plus, alors qu’une température supérieure à 700 °C dans le cas d’une synthèse classique en chimie du solide est généralement requise, le procédé sol-gel permet de produire des matériaux inorganiques dans une gamme de température modérée (< 300 °C).
Cependant, quelques inconvénients propres à ces méthodes sont apparus : tout d’abord, dans le cas de l’obtention d’un aérogel, une distribution en taille trop importante a été mise en évidence. De plus, la haute réactivité du précurseur métallique et le double rôle de l’eau comme ligand et solvant compliquent la synthèse de petites structures [25].
Notons également que les différents types de réactions habituellement rencontrées lors d’une synthèse par voie sol-gel (hydrolyse, condensation et agrégation) interviennent de manière simultanée et rapide Cela peut entraîner des précipitations directes plutôt que la formation de gels ce qui rend le procédé plus difficile à contrôler. De ce fait, le respect des conditions expérimentales est très important et un léger changement altère fortement le résultat final et pose ici un problème de reproductibilité du protocole [26].
De plus, la synthèse nécessite parfois une étape de calcination supplémentaire à une température supérieure à 200 °C pour assurer la cristallisation des particules amorphes ou mal cristallisées produite dans un mélange (eau/alcool) dont la faible température d’ébullition limite le processus.
III .2.6 La méthode sol -gel non aqueux (non hydrolytique) :
Les synthèses sol-gel non hydrolytiques sont un ensemble de réactions qui peuvent avoir lieu entre un précurseur métallique et une molécule organique, dans un milieu non aqueux. Elles conduisent à la formation d’oxydes métallique.
Le précurseur métallique se présente généralement sous la forme d’un chlorure ou d’un alkoxyde, et la molécule organique, qui sert de donneur d’oxygène, doit porter une fonction réactive contenant un atome d’oxygène, tel que l’alcool, l’éther, la cétone ou encore l’aldéhyde [27,28].
De même que pour les réactions sol gel « classiques » c’est-à-dire hydrolytiques, la réaction se déroule en deux étapes majeures.
Tout d’abord, le précurseur métallique va être activé par une réaction d’alcoolyse avec le donneur d’oxygène organique. Cette étape correspond à l’hydrolyse dans le cas des réactions hydrolytiques [27]. Ensuite, comme pour les réactions sol gel classiques, une réaction décondensation permet la formation de ponts oxo entre deux atomes métalliques.
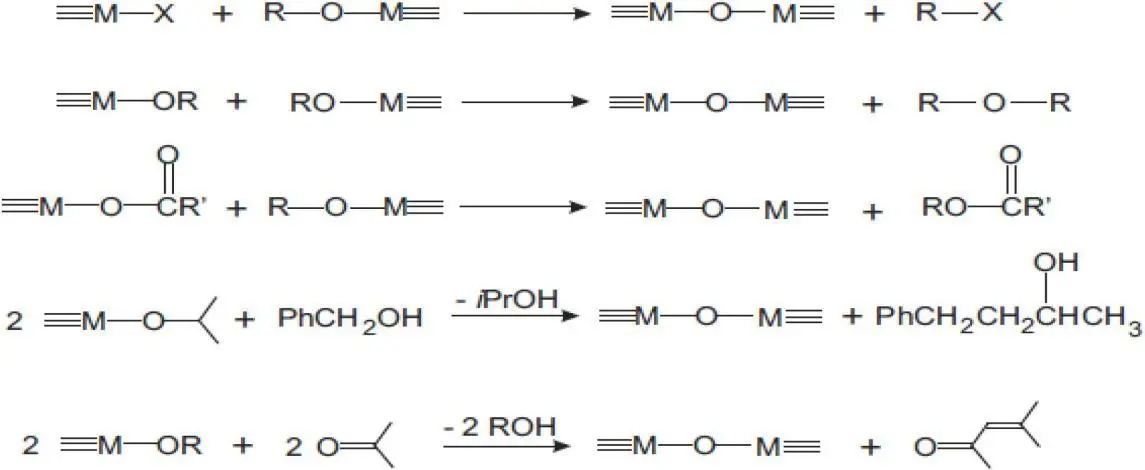
Les réactions de condensation à l’œuvre dans les synthèses NH procèdent par élimination d’un halogénure d’alkyle, élimination d’un éther ou encore élimination d’un ester.
- Élimination d’halogénure d’alkyle:
Élimination d’halogénure d’alkyle, la condensation entre des halogénures métalliques et des alcoolates métalliques (soit initialement ajoutés, soit formés lors de la réaction d’halogénures métalliques avec des alcools) sous l’action d’un halogénure d’alkyle.
- Élimination de l’éther / ester :
Est le résultat de la réaction entre deux alcoolates de métaux. Le processus d’élimination des esters implique la réaction entre des carboxylates de métaux et des alcoolates de métaux ou entre des carboxylates de métaux et des alcools.
- Condensation des groupes carboxylates (éliminations d’esters et d’amides):
Les éliminations d’amide sont analogues aux éliminations d’ester, par ex. réactions entre les carboxylates métalliques et les amines. Les éliminations d’halogénure d’alkyle, d’éther et d’ester sont les voies les plus couramment signalées.
- couplage C-C d’alcools benzyliques et de molécules d’alcoolate:
Toutefois, en raison de l’excellente activité catalytique des centres métalliques des espèces précurseurs, des réactions organiques particulières et plus complexes, telles que la formation de liaisons C-C entre des groupes alcoxy, ont également été observées.
La réaction des oléates métalliques avec des amines, par exemple, a permis la croissance contrôlée des bâtonnets de titane Nano [29].
- Condensation aldol / cétimine:
Si les cétones sont utilisées comme solvants, le dégagement d’oxygène implique généralement une condensation d’aldol, au cours de laquelle deux composés carbonylés réagissent lors de l’élimination formelle de l’eau.

Source: URL
Figure 6 : Étapes de condensation menant à des liaisons M – O – M dans un procédé non aqueux sol – gel.
Les réactions d’hydroxylation et/ou condensation des procédés NH possède des barrières énergétiques plus hautes que celle de l’hydrolyse /condensation des procédés H, ce qui rend leur cinétique plus facilement contrôlable du fait de la forte diminution des vitesses de réaction. Dans les synthèses multi-éléments, notamment, les procédés NH sont également une alternative aux procédés H au cours desquels la différence de réactivité des précurseurs métalliques est particulièrement marquée. Les récents résultats [30, 31] ont permis de prouver la versatilité de ce type de stratégie de synthèse dans la préparation de nanoparticules colloïdales de taille et de forme contrôlées.
Il existe deux types de procédé sol-gel non aqueux, l’un est l’approche dirigée par un agent tensio-actif, qui implique la transformation de l’espèce précurseur en composé oxydique en présence de ligands stabilisants, et l’autre est l’approche contrôlée par un solvant, qui implique l’utilisation d’un solvant organique commun qui agit en tant que réactif et contrôle également la croissance de la taille des particules. Le rôle des composés organiques dans ce processus fournit non seulement l’oxygène au métal pour former de l’oxyde, mais aide également à la répartition granulométrique et à la croissance des particules [32, 33,34].
Comme le montre les nombreux travaux dans la littérature scientifique, ce type de réactions présente plusieurs avantages par rapport aux réactions sol gel hydrolytiques. En effet, il est possible de contrôler bon nombre de paramètres : les espèces chimiques utilisées, les concentrations des réactifs, la température ou encore la durée [35]. Par ailleurs, il a été montré que ce type de réactions permet aussi d’obtenir des structures cristallines souvent mieux définies que dans le cas des réactions hydrolytiques sans avoir à réaliser de traitement thermique.
Questions Fréquemment Posées
Quel est le principe de la méthode sol-gel pour la synthèse de nanoparticules?
Le principe de base du procédé Sol-gel est de permettre la transformation d’une solution à base de précurseurs en phase liquide, en un gel par succession de réactions de polymérisation, à température modérée.
Comment se forme un gel à partir d’un sol dans le processus sol-gel?
Le ‘sol’ évolue progressivement par les réactions chimiques d’hydrolyse et de condensation vers la formation d’un système diphasique de type gel contenant à la fois une phase liquide et une phase solide.
Quels types de matériaux précurseurs sont utilisés dans la méthode sol-gel?
Les matériaux précurseurs choisis utilisés dans la préparation des sols sont généralement des sels métalliques inorganiques tels que des métaux (chlorures, acétates, nitrates, sulfates) ou des composés organométalliques.